Accès direct à :


DEVOIR SURVEILLE N°4
Cliquez ici pour obtenir le document au format Word97 compressé avec winzip.


Exercice n°1 : Développer et réduire les expressions suivantes :

.

Exercice n°2 :

  1. Factoriser, si possible, les expressions suivantes :
    .
  2. Calculer D pour , G pour et F pour
.

Exercice n°3 :

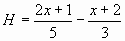
  1. Ecrire H sous la forme d'un seul quotient : .
  2. Calculer I et donner le résultat sous forme d'une fraction irréductible :

.

Exercice n°4 :

Soit les expressions suivantes :

.

  1. Factoriser si possible J, K et L.
  2. Développer puis réduire J et K.

Exercice n°5 :

L'eau des océans contient en moyenne 35g de sel par litre.

Le volume total des eaux des océans est estimé à 1338,5 millions de km3.

Calculer en kilogramme la masse de sel qu'elles contiennent.

Donner le résultat en écriture scientifique.

 

Pour contacter le webmaster .
Pour signer le livre d'or .
Problème de résolution des exercices ? allez sur le Forum.